or start from open source methods. Learn more about OneLab softwareUse OneLab
MxP® Quant 500 kit automated sample prep method

This advanced method offers an end-to-end solution developed around an advanced application, a specialized kit, or an analytical system. It delivers complete functional, ready-to-use protocols that are qualitatively and quantitatively assessed for consistency, executability, and repeatability, usually without needing to make any changes. It operates per batch size and is scalable to accommodate changing requirements.
Overview
Robust and reproducible results are the cornerstone of any scientific finding. Such results require standardized and quantitative methods. Over the last decade, biocrates kit technology has emerged as the gold standard in quantitative metabolomics, presenting new possibilities in the study of human health and disease. International ring trials have proven the quality and reproducibility of biocrates kit data, allowing researchers to conduct local sample measurements and contribute to the global scientific community with confidence.
MxP® Quant 500 is a comprehensive ready-to-use and quality-controlled kit for quantitative metabolic profiling. With coverage of up to 630 metabolites from 26 biochemical classes (1), the kit offers fast turnaround times and reliable quantification of a broad range of metabolites. This includes substances related to nutrition and host-microbiome interaction to ensure innovative scientific findings with sustainable impact.
The WebIDQ workflow solution is a companion cloud software that guides users through the entire workflow and is easily accessible through a web browser. It combines machine learning-based peak picking, automated quantification, and visual validation features to standardize and increase confidence in generated data. The integrated MetaboINDICATOR tool automatically calculates 264 predefined sums and ratios for advanced biological interpretation of enzyme activities and pathophysiological conditions resulting in a total of up to 894 possible biomarkers.
MxP Quant 500 kit
The kit consists of a patented 96-well filter plates with internal standards already integrated, system suitability test samples, lyophilized calibration standards and quality controls (QCs), which are reconstituted according to protocol. Experimental samples are registered in WebIDQ and arranged together with the calibration and QC samples on a 96-well plate layout.

Figure 1: MxP Quant 500 plate layout
The worklist is directly exported to the mass spectrometer software. Samples (10 µL) are pipetted, followed by derivatization, extraction, and dilution. Plates can be measured on different triple quadrupole instrument types from different vendors using optimized instrument-specific LC-MS/MS and FIA-MS/MS methods. Data files are directly processed in WebIDQ with automated quantification, validation, and normalization. Plasma-based quality control samples at different concentration levels are used to automatically assess performance, checking both accuracy and reproducibility. They are also used for data normalization as an essential part of the workflow to correct for any deviations caused by preparation and measurement. Results can be exported to any statistics software of choice for further data analysis.
Automating with Andrew+ Pipetting Robot
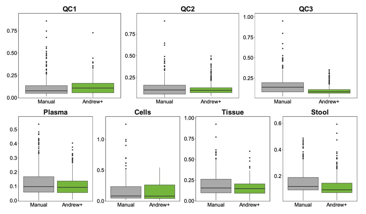
High throughput metabolomic profiling using the biocrates MxP® Quant 500 kit can be efficiently achieved with automated sample preparation by the Waters Andrew+ pipetting robot. This automation yields results comparable to manual preparation in metabolite detection and variability. The automated protocol enhances throughput, reduces personnel time, and improves reproducibility, making it suitable for large-scale studies.

Figure 2: Coefficients of variation (CV) of metabolite concentrations
measured for automated Andrew+ protocol and manual sample preparation
Assay notes
As the instructions indicate, all materials used for assay execution must be tested for potential interferences. Excellent lab technique and a clean environment are required to execute these assays. It is suggested that all manipulations be carried out in a laminar flow hood or static enclosure to address these requirements.

Figure 3: Andrew+ OneLab deck set up for the MxP500 1. Loading. Samples and reagents locations on Andrew+ deck: [1] Tip Insertion System Domino, [2] Microplate Domino: Filter plate, [3] Microtube Domino: Cals, PBS and QCs, [4-7] Microtube Domino: Samples in 1.5 mL Eppendorf tubes.

Figure 4: Andrew+ OneLab deck set up for the MxP500 2. Derivatization. Samples and reagents locations on Andrew+ deck: [1] Tip Insertion System Domino, [2] Microplate Domino: Filter plate, [3] 8-Channel Reservoir Domino: PTIC Derivatization Mix.

Figure 5: Andrew+ OneLab deck set up for the MxP500 3. Extraction/Dilution. Samples and reagents locations on Andrew+ deck: [1-4] Tip Insertion System Domino, [5] Extraction+ Vacuum Manifold, Capture plate as collection labware, [6] Deepwell Microplate: FIA plate, [7] Deepwell Microplate: LC Plate, [8] Deepwell Microplate: Reagent reservoir, [9] Storage Plate Domino, [10] Microplate Shaker+: Filter plate.
Protocol specifications
MxP500 1. Loading:
- Estimated time of execution: 1h 22m 32s
- Hands-on time: 0s
- Tip consumption:
- 95× 0.1-10 μL tips
MxP500 2. Derivatization:
- Estimated time of execution: 5m 18s
- Hands-on time: 0s
- Tip consumption:
- 1× 10-1000 μL tips
MxP500 3. Extraction/Dilution:
- Estimated time of execution: 1h 28m 40s
- Hands-on time: 2m 10s
- Tip consumption:
- 8× 50-1200 μL tips
- 208× 10-300 μL tips
MxP500 XL 3. Extraction/Dilution:
- Estimated time of execution: 1h 6m 8s
- Hands-on time: 10s
- Tip consumption:
- 8× 50-1200 μL tips
- 104× 10-300 μL tips
Ordering information
Andrew+ System Components: Dominos, Devices, Electronic Pipettes & Tips
- Andrew+ Pipetting Robot
- OneLab software
- Extraction+ Base Kit with Plate Gripper | p/n 176005201
- 4× Tip Insertion Domino | p/n 186009612
- Microtube Domino | p/n 186009601
- 5× Conical Microtube Domino | p/n 186009601
- 8-Channel Reservoir Domino | p/n 186009613
- 5× Deepwell Microplate Domino | p/n 186009597
- Storage Plate Domino | p/n 186009596
- Andrew Alliance Bluetooth Electronic Pipette, 1-ch 10 μL | p/n 186009769
- Andrew Alliance Bluetooth Electronic Pipette, 1-ch 1000 μL | p/n 186009766
- Andrew Alliance Bluetooth Electronic Pipette, 8-ch 300 μL | p/n 186009607
- Andrew Alliance Bluetooth Electronic Pipette, 8-ch 1200 μL | p/n 186009615
Recommended consumables
- Biocrates MxP Quant 500 kit, full plate version
- Biocrates MxP Quant 500 XL kit, full plate version
- Agilent 12-column reagent reservoir | p/n 201256-100
References
- Complete list of metabolites covered by the MxP Quant 500 kit: https://biocrates.com/wp-content/uploads/2022/02/biocrates-Quant500-list-of-metabolites-v6-2022.pdf
Protocols




Contact info

This is an open access protocol distributed under the terms of the Creative Commons Attribution License, which permits unrestricted use, distribution, and reproduction in any medium, provided the original author and source are credited. 